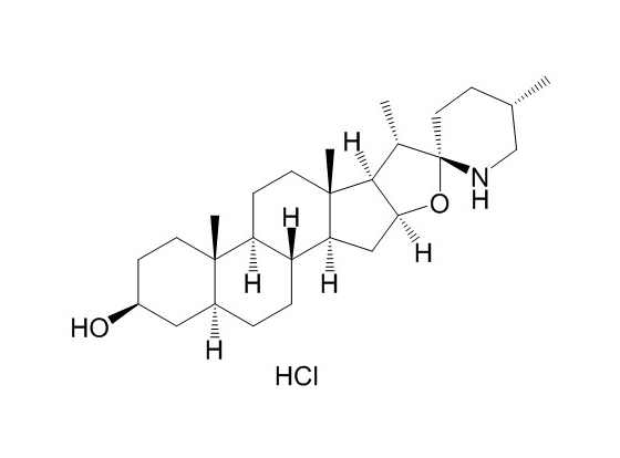
盐酸番茄碱

- 【 CAS 号 】:6192-62-7
- 【中文名称】:盐酸番茄碱
- 【 分 子 式】:C27 H 46 ClNO 2
- 【英文名称】:Tomatidine hydrochloride
- 【 分 子 量】:452.12
- 【中文别名】:N/A
- 【存储条件】:2-8℃
- 【英文别名】:Tomatidin hydrochloride,Tomatidine hydrochloride
- 【结构类型】:Steroid Saponins and its Sapogenins
- 【溶解溶剂】:Methanol
- 货号
HB-00994
- 常规包装
25mg
- 等级
NC
- 纯度
≥98.0%
- 品牌
Huaster
- 价格
1000.00
- COA
提取来源:
地 址:
产品销售:
E - mail :
邮 编:
Amily


