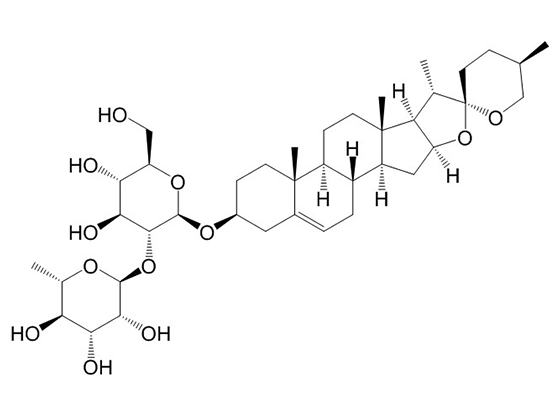
薯蓣次皂苷A

- 【 CAS 号 】:19057-67-1
- 【中文名称】:薯蓣次皂苷A
- 【 分 子 式】:C39 H 62 O 12
- 【英文名称】:Prosapogenin A
- 【 分 子 量】:722.91
- 【中文别名】:重楼皂苷V,重楼皂苷E
- 【存储条件】:2-8℃
- 【英文别名】:Lilioglycoside D,Ophiopogonin C',Paris V,Paris saponin V
- 【结构类型】:Steroid Saponins and its Sapogenins
- 【溶解溶剂】:Methanol; DMF
- 货号
HB-02601
- 常规包装
5mg
- 等级
NC
- 纯度
≥98.0%
- 品牌
Chemstan
- 价格
1500.00
- COA
提取来源:
地 址:
产品销售:
E - mail :
邮 编:
Amily


